• Предмет: Физика
  • Автор: matvey8334
  • Вопрос задан 3 года назад

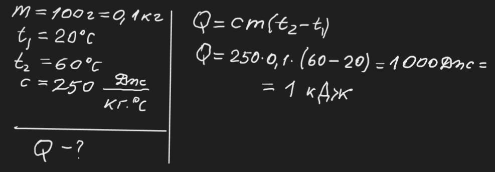
Срібну ложку масою 100 г нагріли від 20 °C до 60 ºС. Яка кількість теплоти передана ïй?​ нужно расписать

Ответы

Ответ дал: zybkov1950
1

Відповідь: 1 кДж

Пояснення:

Приложения:
Вас заинтересует