• Предмет: Физика
  • Автор: matvey8334
  • Вопрос задан 3 года назад

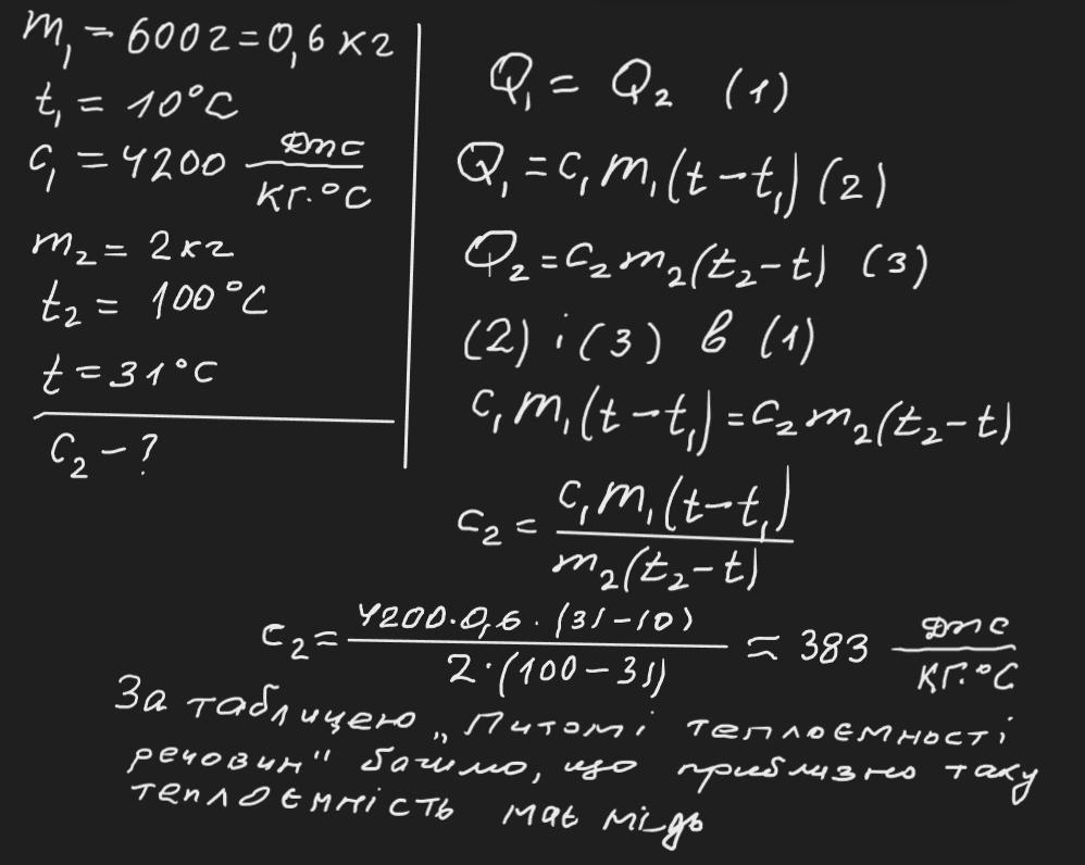
у воду масою 600 г, температура якої 10 градусів, опустили металеву деталь масою 2 кг. Температура води підвищилась до 31 градуса. З якого металу зрублена деталь якщо її початкова температура 100 градусів

Ответы

Ответ дал: zybkov1950
4

Відповідь:     з міді

Пояснення:

Приложения:

yer21k: Здравствуйте, zybkov1950! Помогите, пожалуйста, с вопросом по физике. Даю максимальное количество баллов.
Chmaraaa2008: Дякую дуже допомогло. Поставила 1 звезду тому що в мене телефон почал сильно лагать
Вас заинтересует