• Предмет: Математика
  • Автор: lizahavrilchenko
  • Вопрос задан 3 года назад

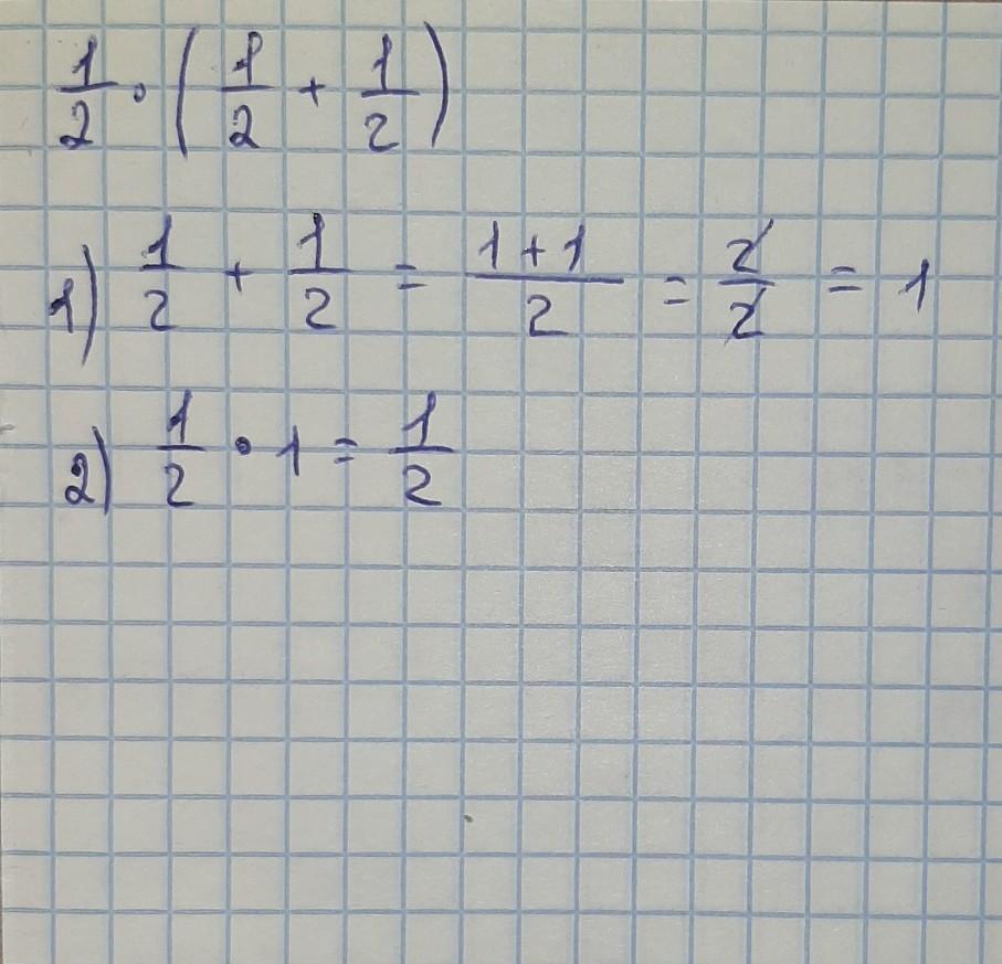
1/2*(1/2+1/2)
варианты ответов:
1
1/4
1/2
очень срочно​

Ответы

Ответ дал: ildar502020
0

Ответ:    1/2.

Пошаговое объяснение:

1/2*(1/2+1/2) = 1/2* 2/2=1/2 * 1 = 1/2.

Ответ дал: suzikovaangelina0611
0

Ответ:

1/2

Пошаговое объяснение:

Приложения:
Вас заинтересует