• Предмет: Математика
  • Автор: zzxckanek
  • Вопрос задан 3 года назад

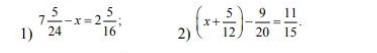
Срочно помогите пожалуйста

Приложения:

Ответы

Ответ дал: ghost58382
0

Ответ:

фотография.....................верху

Приложения:
Вас заинтересует