• Предмет: Алгебра
  • Автор: CleverStudent
  • Вопрос задан 10 лет назад

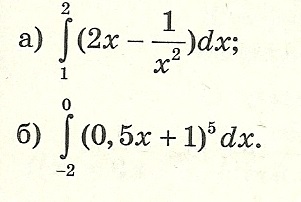
Вычислите два легких интеграла

Приложения:

Ответы

Ответ дал: prostomama1
0
""""""""""""""""""""""""""""""""""
Приложения:
Вас заинтересует