• Предмет: Алгебра
  • Автор: vp1218120
  • Вопрос задан 3 года назад

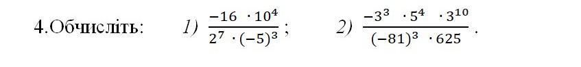
4.Обчисліть: это срочно даю 70 балов!!!!!​

Приложения:

Ответы

Ответ дал: Аноним
1

Ответ:

Объяснение:

1) (-16·10⁴)/(2⁷·(-5)³)=-2⁴·2⁴·5⁴·2⁻⁷·(-5)⁻³=-2⁴⁺⁴⁻⁷⁻³·(-5)⁴⁻³=-2⁻²·(-5)¹=5/4=1,25

2) (-3³·5⁴·3¹⁰)/((-81)³·625)=(-3³⁺¹⁰·5⁴)/((-3⁴)³·5⁴)=-3^(13-4·3) ·5⁴⁻⁴=-3¹·5⁰=-3·1=-3

Вас заинтересует