Ответы
Ответ дал:
1
Ответ:
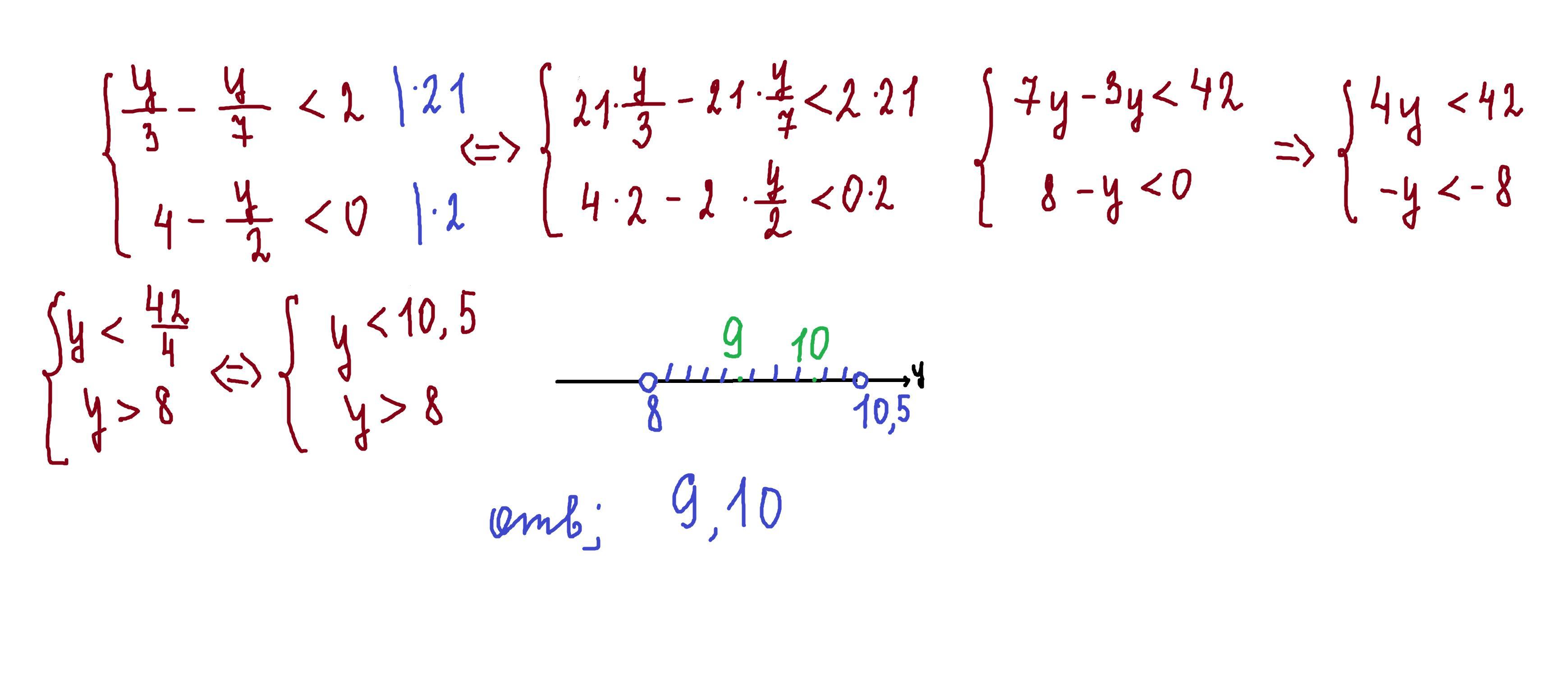
9,10
Объяснение:
решение внизу
Приложения:

ggxet:
спасибо большое!
https://znanija.com/task/50360635?utm_source=android&utm_medium=share&utm_campaign=question, можете с этим помочь, пожалуйста
Вас заинтересует
2 года назад
2 года назад
2 года назад
2 года назад
7 лет назад
9 лет назад
9 лет назад