Ответы
Ответ дал:
2
Ответ:
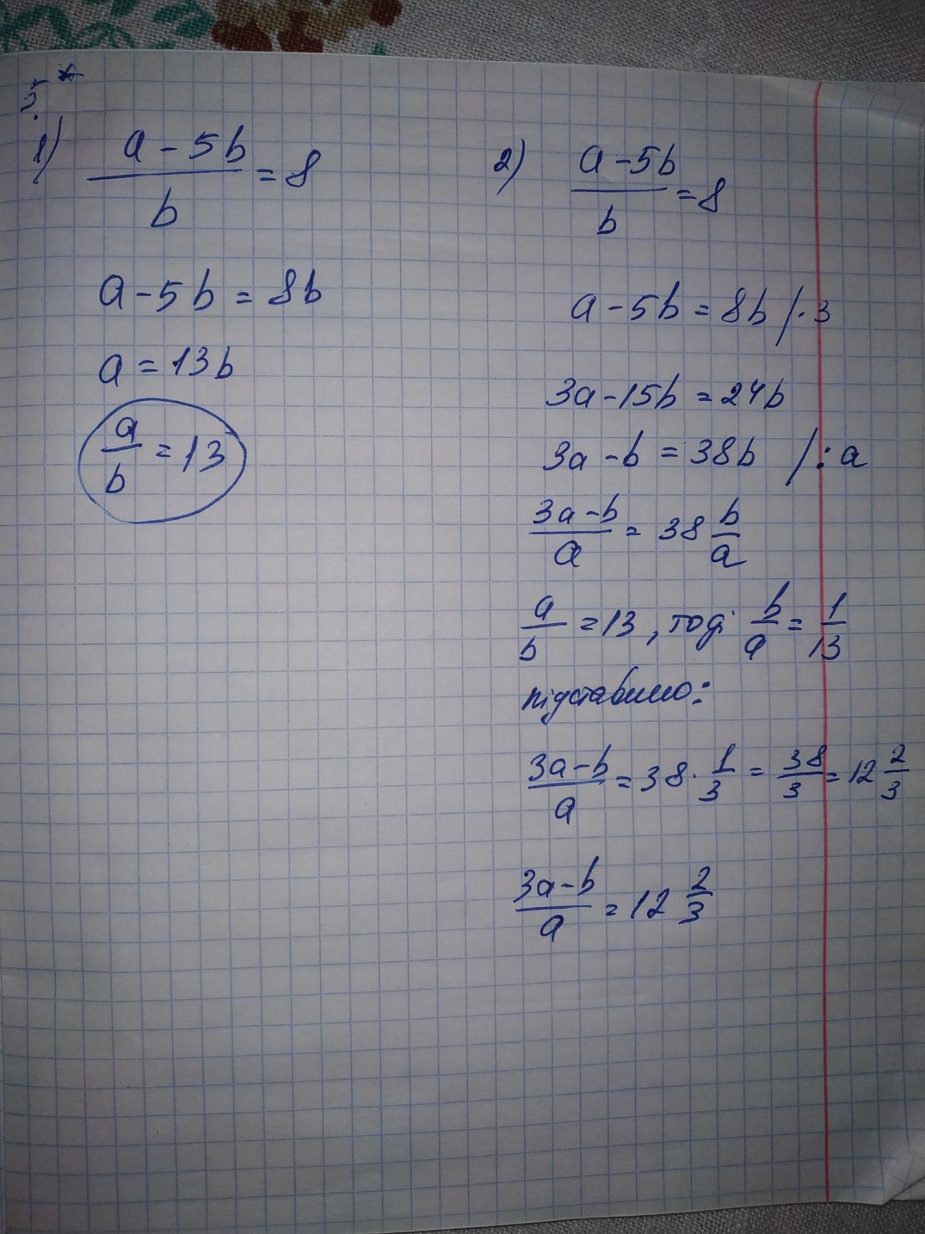
відповідь на 5
1) 13, 2) 12 2/3
Объяснение:
на фото пояснення
Приложения:

Вас заинтересует
2 года назад
2 года назад
2 года назад
2 года назад
7 лет назад
7 лет назад
9 лет назад