Ответы
Ответ дал:
0
Ответ:
Изи, лови.
Пошаговое объяснение:
алоаоаоаоуициоцшугврвитаоав
Приложения:

dobrikvodafone:
спосибо
Ответ дал:
2
Ответ:
1)2940.4)1
Пошаговое объяснение:
1)2720-(х-900)=680
х-900=2720-680
х-900=2040
х=2040+900
х=2940
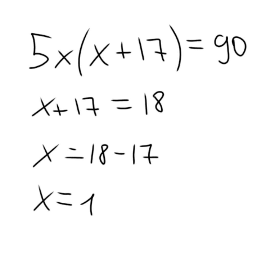
4) 5(х+17)=90
х+17=90/5
х+17=18
х=18-17
х=1
Вас заинтересует
2 года назад
2 года назад
2 года назад
7 лет назад
9 лет назад