• Предмет: Алгебра
  • Автор: matildakarol007
  • Вопрос задан 3 года назад

виконайте дію 4p+c/p²c+p-4c/pc²

Ответы

Ответ дал: ivahnikliza
1

Ответ:

......................

Приложения:

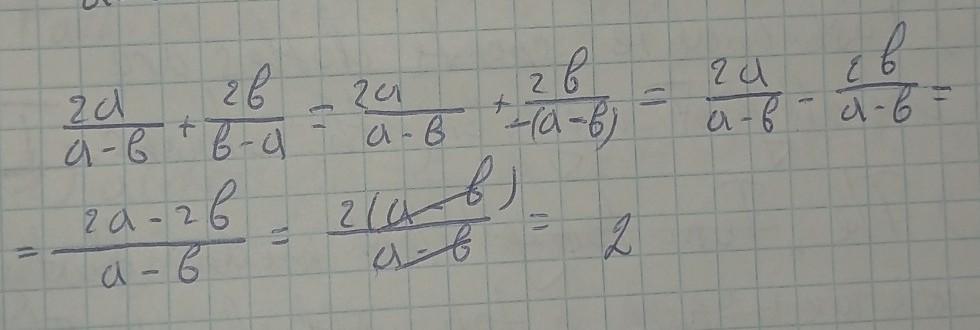
matildakarol007: дякуюююю, а ви би ще не могли сказати скільки буде 2a/a-b+2b/b-a=.. (будь ласка, дуже потрібно)дякую
ivahnikliza: прикрепила фото
matildakarol007: БОЖЕЕ, ТИ МОЄ СПАСІННЯ, ДАЙ ГОСПОДЬ ТОБІ САМОГО КРАЩОГО❤️
ivahnikliza: Немає за що, сонечко )
Вас заинтересует