Ответы
Ответ дал:
1
Ответ:
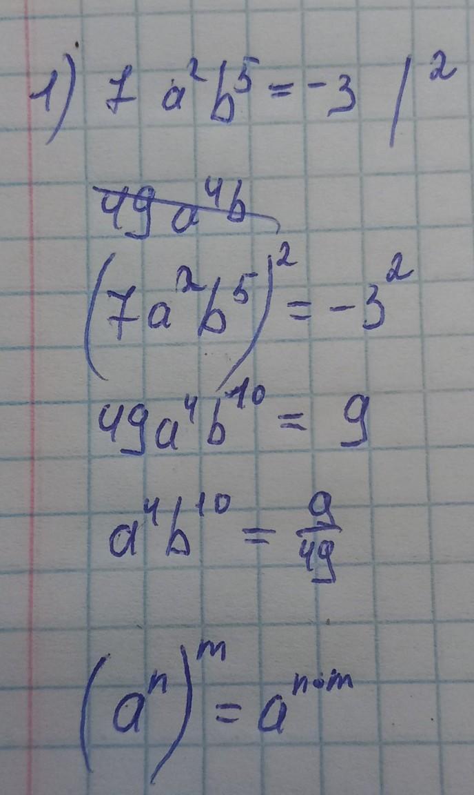
первое так(внизу расписал почему (7а²b⁵)²=49a⁴b¹⁰
Второе не знаю, сори
Приложения:

Вас заинтересует
2 года назад
2 года назад
2 года назад
7 лет назад
9 лет назад