• Предмет: Математика
  • Автор: rudjenia444
  • Вопрос задан 3 года назад

решите пж дробь 3 1/6 - 1/4

Ответы

Ответ дал: petrukvt
2

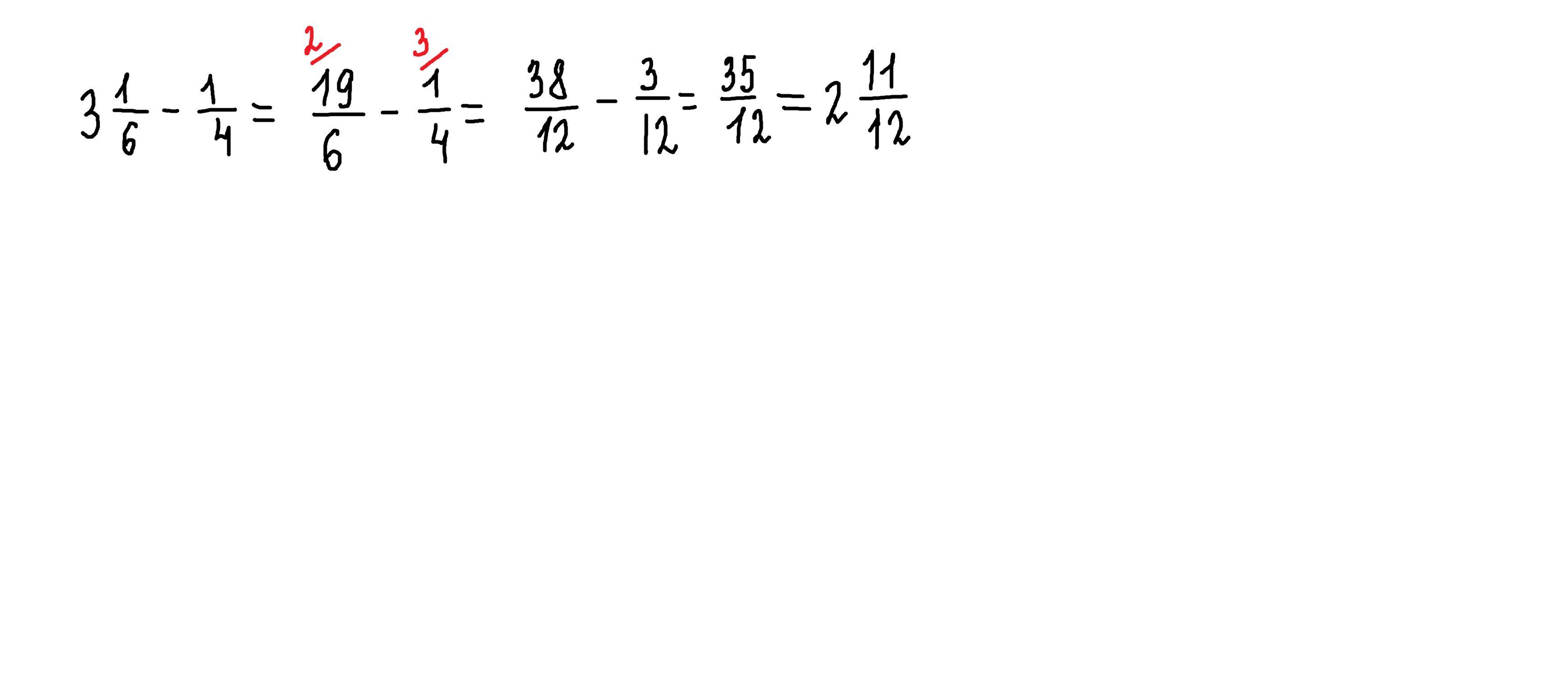
Відповідь: 2 11/12

Покрокове пояснення:

Зводимо до спільного знаменника 12, маємо 3 2/12 - 3/12 = 2 14/12 - 3/12 = 2 11/12

Ответ дал: parus77
2

Ответ:

2 11/12

Пошаговое объяснение:

превратим первую дробь в неправильную,приведем к общему знаменателю и будем вычислять

Приложения:
Вас заинтересует