• Предмет: Алгебра
  • Автор: lliggo2000
  • Вопрос задан 3 года назад

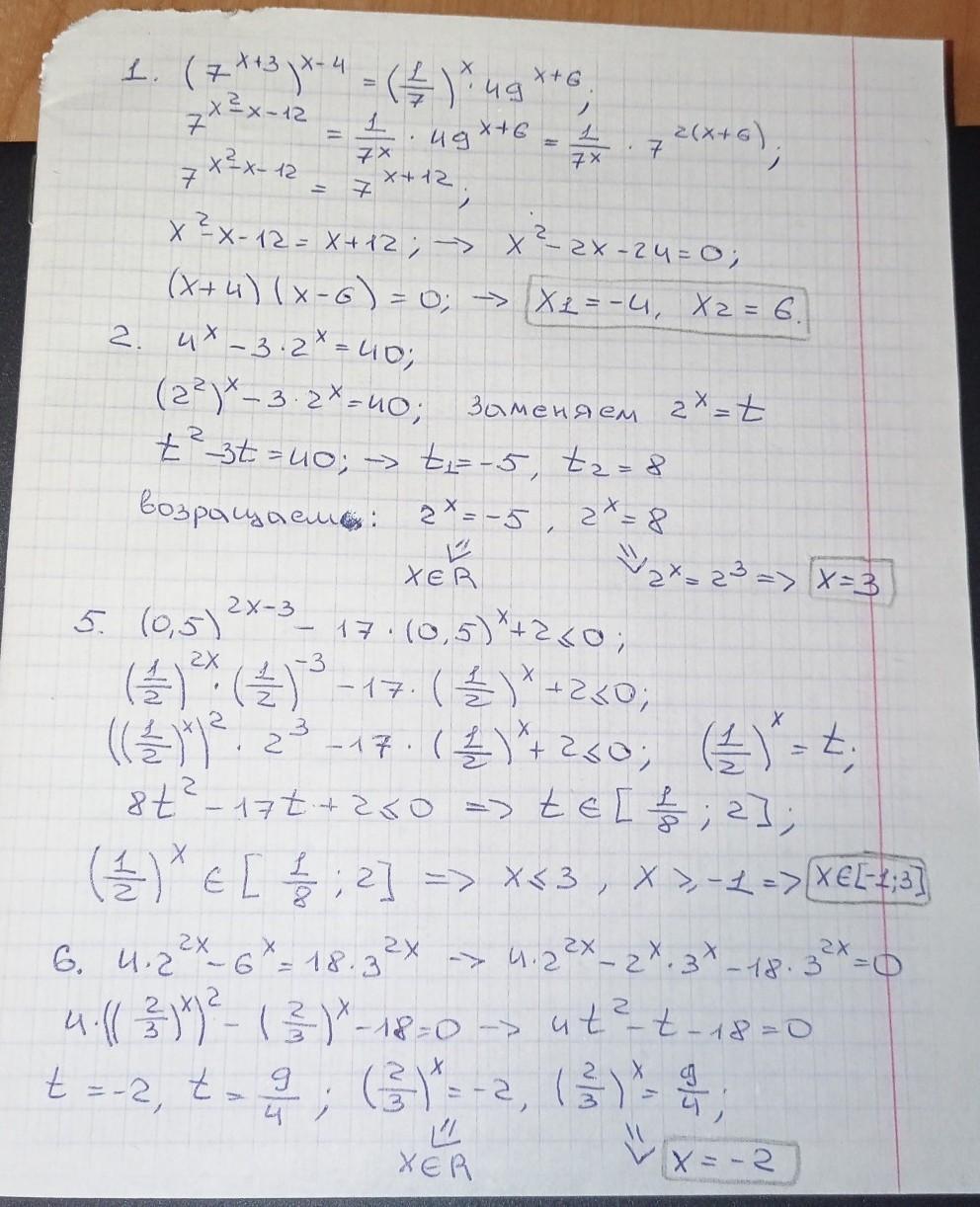
помогите решить 4 уравнения ( 11 класс)​

Приложения:

Ответы

Ответ дал: aarr04594
1

Відповідь: розв'язання завдання додаю

Пояснення:

Приложения:

lliggo2000: Дуже дякую!
aarr04594: Нехай щастить.
Ответ дал: Ymnik200000
1

Ответ:

Смотреть в прикреплённом файле ;)

Приложения:

lliggo2000: спасибо большое!
Вас заинтересует