Ответы
Ответ дал:
1
Ответ:
1) 1/2 = 0.5(одна друга);
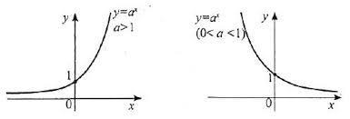
2) 1.познач точку (-2;4) : -2 по осі ОХ, 4 по осі ОУ
2. а<1 , тому функція спадає
3.побудуй функцію як на зображені справа , але так, щоб вона перетинала твою точку (-2;4)
Well done!
Приложения:

Вас заинтересует
2 года назад
2 года назад
2 года назад
7 лет назад
7 лет назад
9 лет назад
9 лет назад