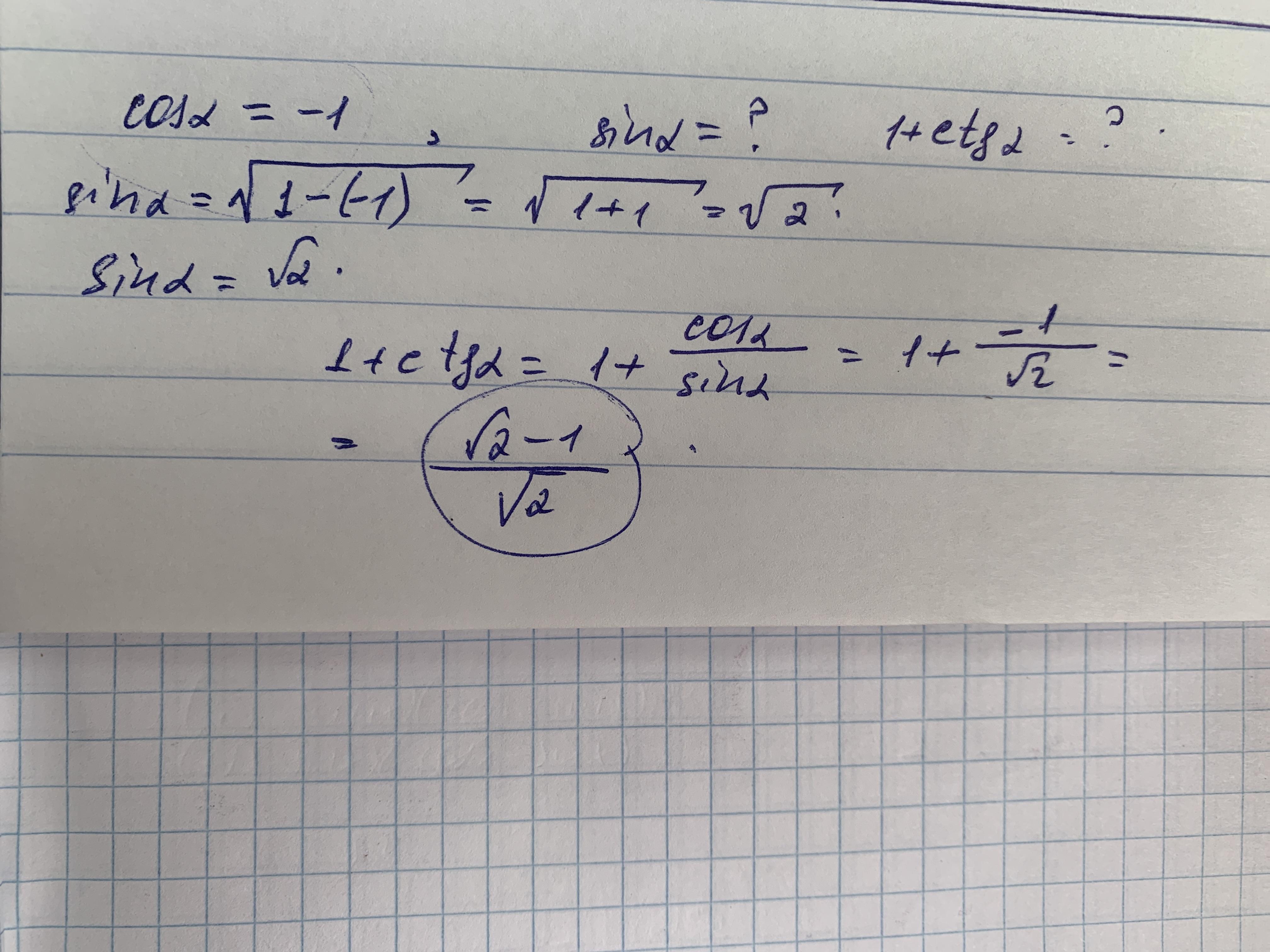
8. Відомо, що соsа=- 1) Знайдіть sin а. 2) Обчисліть значення виразу 1+ctga. Наведіть повне розв'язання задач
Ответы
Ответ дал:
0
Ответ:
Пошаговое объяснение:
Приложения:

Вас заинтересует
2 года назад
2 года назад