Даю 100 балов будь ласка допоможіть
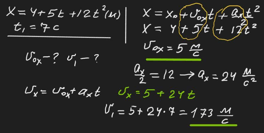
Рух тіла задано рівнянням х=4+5t+12t2 (в квадраті) , де всі величини виражено в
одиницях системи СІ. Визначте початкову швидкість та швидкість
тіла через 7 с після початку руху.
Ответы
Ответ дал:
1
Відповідь: 5 м/с 173 м/с
Пояснення:
Приложения:

StrangerThinngs:
Дуже дякую! В мене є одна дуже важка для мене задача в профілі, подивіться якщо вам не дуже важко
Вас заинтересует
2 года назад
2 года назад
2 года назад
2 года назад
7 лет назад
7 лет назад
9 лет назад