• Предмет: Алгебра
  • Автор: EgorSasenow
  • Вопрос задан 3 года назад

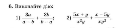
пожалуйста помогите!!​

Приложения:

Ответы

Ответ дал: hwwxxq
1

пометьте как "лучший ответ" если не сложно)

Приложения:
Вас заинтересует