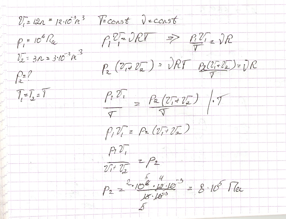
Если баллон, содержащий 12 л кислорода при давлении 1 МПа, соединить с пустым баллоном вместимости 3 л, то в процессе изотермического расширения газа какое в сосудах установится давление?
Ответы
Ответ дал:
0
8*10⁵ Па=800 000 Па
При увеличении объема количество газа не меняется, а значит vR=const
изотермический процесс=> T=const
из этого делаем уравнения
При увеличении объема количество газа не меняется, а значит vR=const
изотермический процесс=> T=const
из этого делаем уравнения
Приложения:
Вас заинтересует
3 года назад
3 года назад
8 лет назад
8 лет назад
11 лет назад
11 лет назад
11 лет назад