• Предмет: Математика
  • Автор: iorbko
  • Вопрос задан 3 года назад

На якість будь-ласка. Хочу зрозуміти як вирішувати.

Приложения:

Ответы

Ответ дал: tarasgyska
1

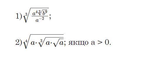
1)

 \sqrt[3]{ \frac{ {a}^{4} \sqrt[3]{ {b}^{9} }  }{ {a}^{ - 2} } }

 \sqrt[3]{ {b}^{9} }  =  {b}^{ \frac{9}{3} }  =  {b}^{3}

При діленні, степені віднімаються

 {a}^{4}  \div  {a}^{ - 2}  =  {a}^{4 - ( - 2)}  =  {a}^{4 + 2}  =  {a}^{6}

 \sqrt[3]{ {a}^{6}  {b}^{3} }

Виносимо вирази з під кореня, для цього потрібно степінь поділити на корінь степеня

 \sqrt[3]{ {a}^{6} }  =  {a}^{ \frac{ 6}{3} }  =  {a}^{2}

 \sqrt[3]{ {b}^{3} }  =  {b}^{ \frac{3}{3} }  = b

 \sqrt[3]{ \frac{ {a}^{4} \sqrt[3]{ {b}^{9} }  }{ {a}^{ - 2} } }  =  \sqrt[3]{ {a}^{6}  {b}^{3} }  =  {a}^{2} b

2)

 \sqrt[4]{a \times  \sqrt[3]{a \times  \sqrt{a} } }

За формулою

 a = \sqrt[n]{ {a}^{n} }

Перетворимо вирази

 \sqrt[4]{ \sqrt{ {a}^{2} } \sqrt[3]{ \sqrt{ {a}^{2} }   \sqrt{a} }  }

Вираз коренів з одинковим степенем дорівнює кореню

 \sqrt{ {a}^{2} }  \times  \sqrt{a}  =  \sqrt{ {a}^{2} \times a }  =  \sqrt{ {a}^{2 + 1} }  =  \sqrt{ {a}^{3} }

 \sqrt[4]{ \sqrt{ {a}^{2} } \sqrt[3]{   \sqrt{ {a}^{3} } }   }

Спростимо вираз використовуючи формулу

 \sqrt[m]{ \sqrt[n]{a} }  =  \sqrt[mn]{a}

 \sqrt[3]{ \sqrt{ {a}^{3} } }  =  \sqrt[2 \times 3]{ {a}^{3} }  =  \sqrt[6]{ {a}^{3} }

 \sqrt[4]{ \sqrt{ {a}^{2} } \sqrt[6]{ {a}^{3} }  }

Скоротимо степень кореню

 \sqrt[6]{ {a}^{3} }  =   \sqrt[6 \div 3]{a}  =  \sqrt{a}

 \sqrt[4]{ \sqrt{ {a}^{2} }  \sqrt{a} }

Користуючись формулами вище, повторимо дії

 \sqrt[4]{ \sqrt{ {a}^{2}  \times a} }  =  \sqrt[4]{ \sqrt{ {a}^{3} } }  =  \sqrt[4 \times 2]{ {a}^{3} }  =  \sqrt[8]{ {a}^{3} }


iorbko: Дякую!
iorbko: Детально, зрозумів, дуже вам дякую!
tarasgyska: Звертайтесь)
Вас заинтересует