Ответы
Ответ дал:
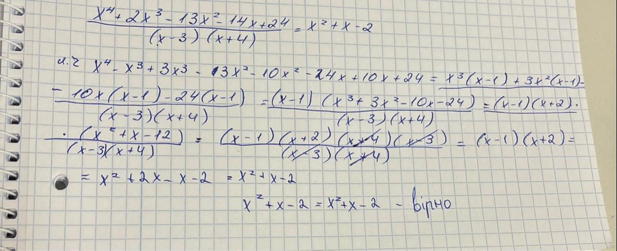
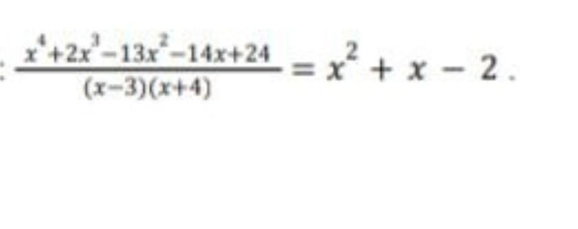
2
питай,якщо не зрозуміло
Приложения:

Вас заинтересует
2 года назад
2 года назад
2 года назад
2 года назад
7 лет назад
7 лет назад
9 лет назад