• Предмет: Алгебра
  • Автор: miramirnaaa63
  • Вопрос задан 3 года назад

допоможіть будь ласка срочно!!
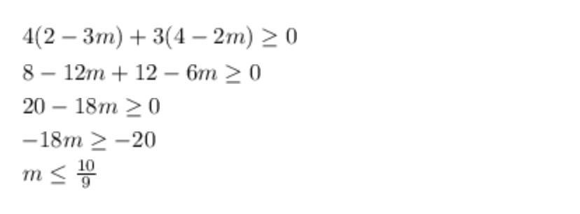
знайти множину розв'язків нерівності 4(2-3m)+3(4-2m)≥0​

Ответы

Ответ дал: Alina29255
3

Ответ:

вот ответ

Объяснение:

Приложения:

miramirnaaa63: дякую велике!!!
Вас заинтересует