• Предмет: Математика
  • Автор: holodalexandra09
  • Вопрос задан 3 года назад

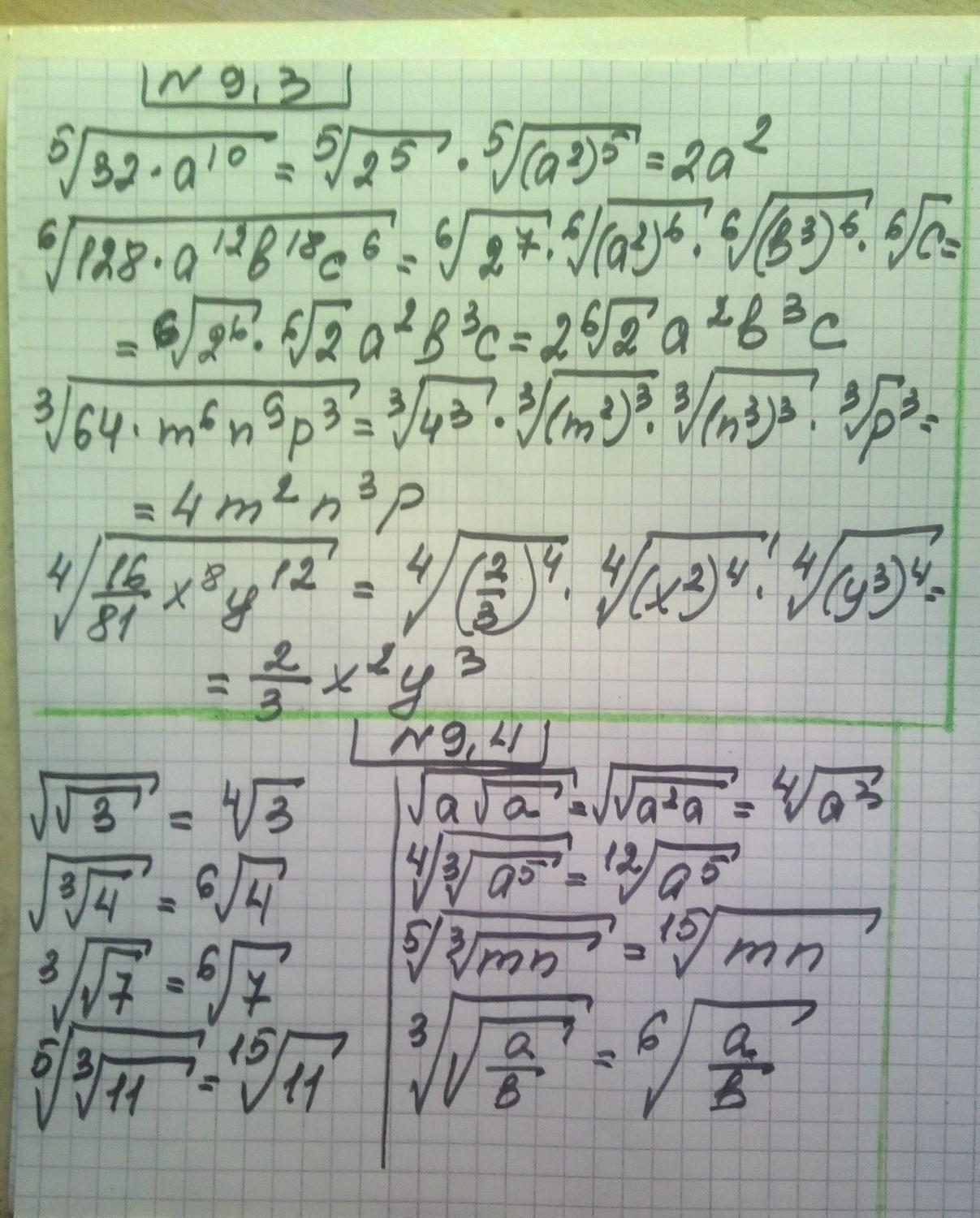
ПОМОГИТЕ МАТЕМАТИКУ СРОЧНОО 2 ЗАДАНИЯ ПОЖАЛУЙСТА 9.3 и 9.4

Приложения:

Ответы

Ответ дал: manyny06
0

Ответ:

решение смотри на фотографии

Приложения:
Вас заинтересует