• Предмет: Алгебра
  • Автор: Oglobes
  • Вопрос задан 3 года назад

Срочно!

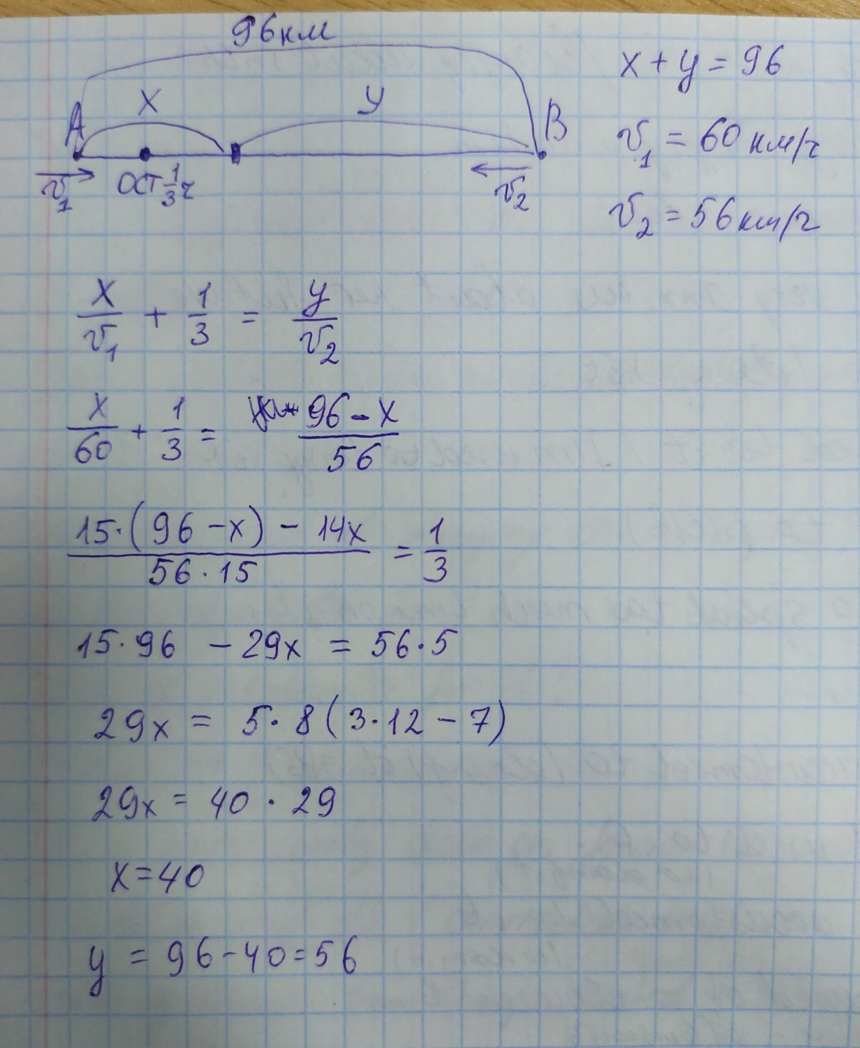
Из городов А и В, расстояние между которыми 96 км, одновременно навстречу друг другу выехали два автомобилиста. Выехавший из пункта А автомобилист, проехав какую-то часть пути, сделал остановку на треть часа, а затем продолжил движение до встречи со вторым автомобилистом. Известно, что скорость первого автомобилиста равна 60км/ч, а второго 56км/ч. На каком расстоянии от города В встретятся автомобилисты?
Ответ дайте в километрах. В ответ запишите только число

Ответы

Ответ дал: belkavkolese
1

Пояснения:

Второй автомобилист проехал расстояние У за то же время, что первый автомобилист проехал расстояние Х плюс то время (1/3 часа), на которое он сделал остановку

Ответ: 56 км

Приложения:

Oglobes: Спасибо тебе большое солнце
belkavkolese: ❤️
Вас заинтересует