• Предмет: Математика
  • Автор: timurcibrovskij
  • Вопрос задан 3 года назад

Рішіть будь-ласка самостійно,не з інтернета даю 50 балів,сподіваюсь на розуміння,дати повний розв'язок+графік.​​

Приложения:

Ответы

Ответ дал: parus77
1

Ответ:

Пошаговое объяснение:

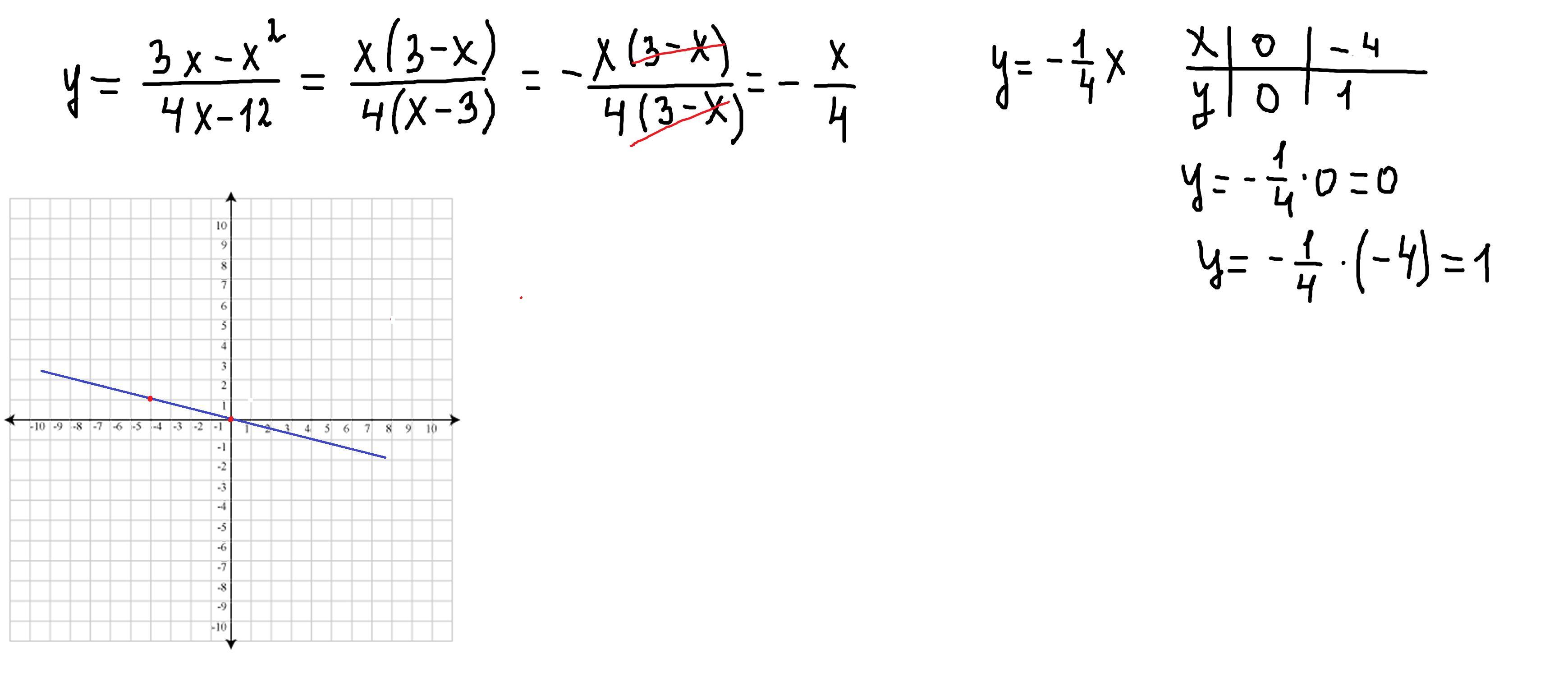
вроде должно быть так:

разложим числитель и знаменатель на множители и сократим,приведем к виду У=-1/4 Х

для построения прямой достаточно двух точек

Приложения:
Вас заинтересует