Ответы
Ответ дал:
1
Ответ:
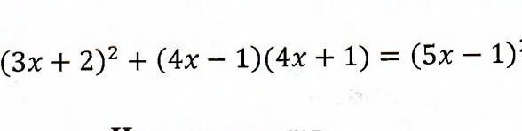
решение смотри на фотографии
Приложения:

Ответ дал:
2
Вітаю.
Відповідь: фото
Покрокове пояснення:
Приложения:

Вас заинтересует
2 года назад
2 года назад
2 года назад
7 лет назад
9 лет назад