• Предмет: Математика
  • Автор: rOxA223
  • Вопрос задан 3 года назад

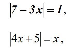
Розв′язати за означенням абсолютної величини.

Приложения:

Ответы

Ответ дал: tatanadocenko1007
0

Ответ: 1) 2; 8/3; 2) -5/3; -1

Пошаговое объяснение:

1) 7-3х=1  та  7-3х=-1                                                                                                            -3х= -6     та  -3х= -8                                                                                                       х=2           та  х= 8/3                                                                                                                  2) 4х+5=х    та   4х+5= -х                                                                                                    3х= -5          та    5х = -5

х= -5/3         та х= -1

                                                                                                           

Вас заинтересует