Ответы
Ответ дал:
2
Ответ:
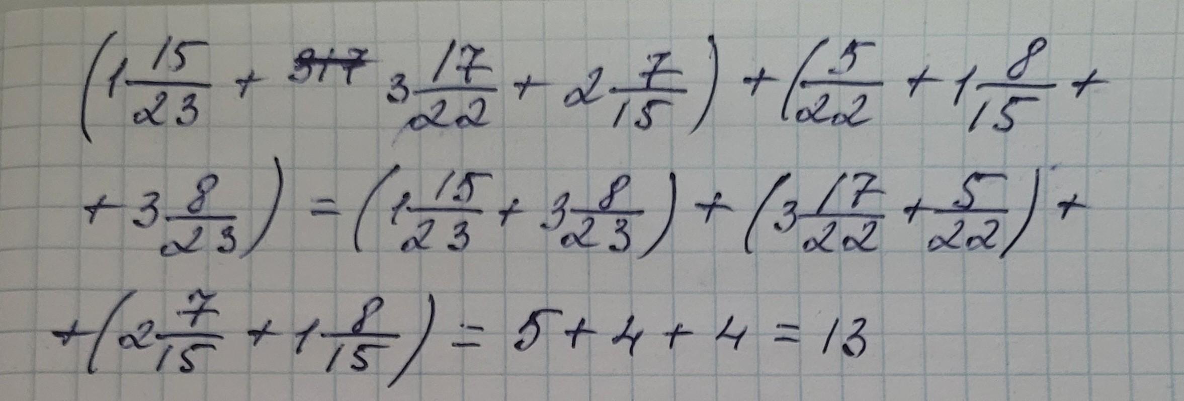
Пользуемся переместительным законом сложения. Раскрываем скобки и группируем числа по знаменателю. При сложении из смешанных дробных чисел мы получаем натуральные и легко их складываем.
Приложения:

dmakhsetova:
спасибр здесь всё правильно!
Вас заинтересует
2 года назад
2 года назад
2 года назад
2 года назад
7 лет назад