• Предмет: Алгебра
  • Автор: Аноним
  • Вопрос задан 3 года назад

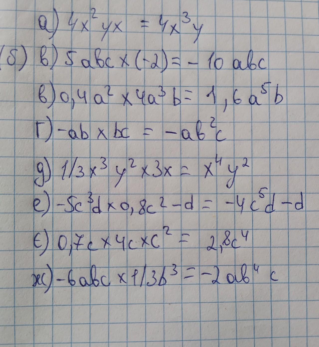
a) 4x²yx
б) 5abc×(-2)
в)0,4а²×4a³b
г)-ab×bc
д)1/3x³y²×3x
e)-5c³d×0,8c²d
є)0,7с×4c×с²
ж)-6abc×1/3b³

Приложения:

Ответы

Ответ дал: ildar502020
0

Ответ:

Объяснение:

a) 4x²yx=4x³y;

б) 5abc×(-2)=-10abc;

в)0,4а²×4a³b=1.6a⁵b;

г)-ab×bc=-ab²c;

д)1/3x³y²×3x=x⁴y²;

e)-5c³d×0,8c²d=-4c⁵d²;

є)0,7с×4c×с²=2.8c⁴;

ж)-6abc×1/3b³=-2ab⁴c.

Ответ дал: sahrizad7
0

ответы на фотографии........

Приложения:
Вас заинтересует