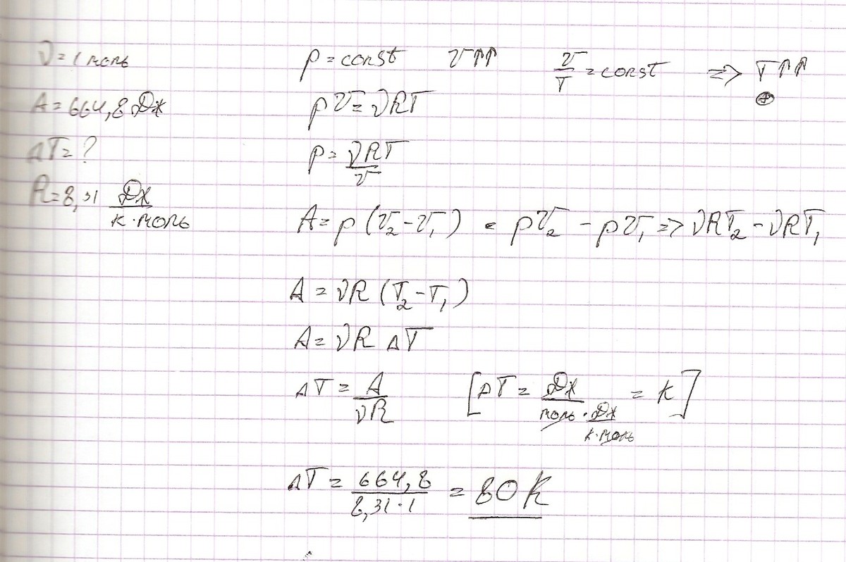
идеальный газ в количестве 1 моль, изобарно расширяясь, совершил работу. равную 664,8 Дж. на сколько увеличилась температура газа?
Ответы
Ответ дал:
0
ответ 80
самое главное тут, что формула работы A=p(V2-V1)=pV2-pV1
pV=vRT
самое главное тут, что формула работы A=p(V2-V1)=pV2-pV1
pV=vRT
Приложения:

Вас заинтересует
2 года назад
2 года назад
8 лет назад
10 лет назад
10 лет назад
10 лет назад