• Предмет: Алгебра
  • Автор: pomogite1580
  • Вопрос задан 3 года назад

помогите пожалуйста с четким объяснением 8 примеров можно 6​

Приложения:

tenebriz: О, я тебя нашел опять
tenebriz: Я крч решил
tenebriz: Ща кину

Ответы

Ответ дал: tenebriz
0

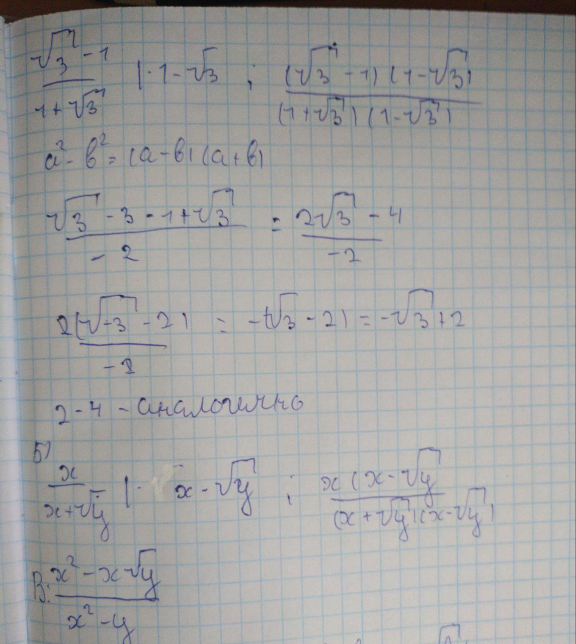
Ответ: На картинке

Объяснение:

Где |*x (где х это цифры) значит что я множу дробь на  \frac{x}{x}

Второй момент это формула a^{2}-b^{2}=(a-b)(a+b)

Использовали её как в обычном порядке, так и в обратном

Если будут вопросы пиши в коменты.

Ну и это, звиняй за почерк)

Приложения:
Вас заинтересует