• Предмет: Математика
  • Автор: shaxnozatolqinovacom
  • Вопрос задан 3 года назад

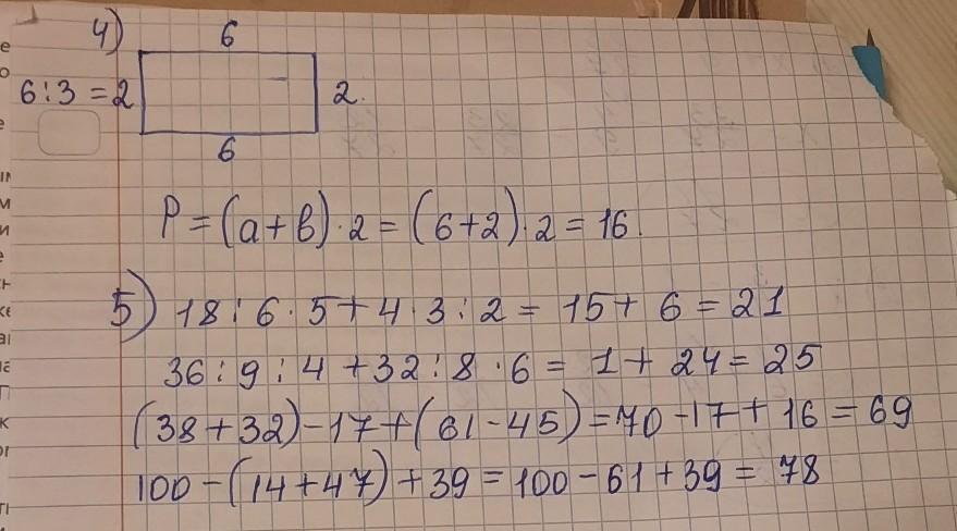
начерти прямоугольник длина которого 6 см
4.5 ​

Приложения:

Ответы

Ответ дал: zuzu1209
0

Ответ:

на фотографии

Пошаговое объяснение:

на фотографии

Приложения:
Ответ дал: menhesenli2
0

Ответ:

периметр 16 см ,ну прямоугольник сама можешь чертить

сверху и снизу 6 см а по сторонам 2 см

Вас заинтересует