• Предмет: Алгебра
  • Автор: DidenkoAnya
  • Вопрос задан 3 года назад

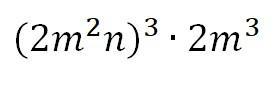
Подайте одночлен у стандартному вигляді та знайдіть степінь одночлена
Даю 10 балів

Приложения:

Ответы

Ответ дал: Ansaskov3
0
Надеюсь помог) удачи и хорошой оценки)
Приложения:
Вас заинтересует