• Предмет: Математика
  • Автор: bagdatnur07
  • Вопрос задан 3 года назад

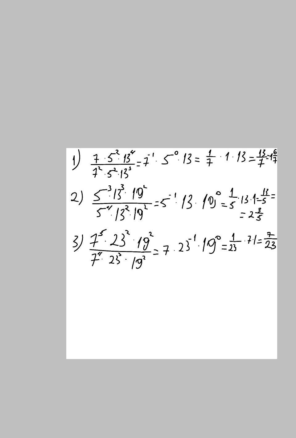
319. 1) 7.5².134 7².5².13³ 2) 5³.13³.19² 54.13².192 3) E 75.23².19² 74.23³.19²
ТОЛЬКО 319​

Приложения:

Ответы

Ответ дал: korolula275
2

Пошаговое объяснение:

............................................

Приложения:

bagdatnur07: спасибо
artemsalihov46: лала
Ответ дал: tatsach
9

Ответ:

Пошаговое объяснение:

Приложения:

bagdatnur07: спасибо вам огромное
Вас заинтересует