• Предмет: Алгебра
  • Автор: 1883828djsjsj
  • Вопрос задан 3 года назад

помогите пж ( срочно )​

Приложения:

Ответы

Ответ дал: someonewhoneedhelpp
0
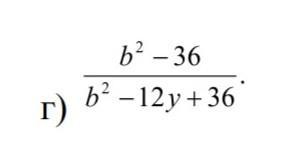
b^2-6^2/(b+6)^2=(b-6)(b+6)/(b+6)^2=b-6/b+6

someonewhoneedhelpp: аа,не правильно,там у,я не увидел
1883828djsjsj: ага
1883828djsjsj: переделай пж
1883828djsjsj: ты балы получил
1883828djsjsj: я кидаю жалобу
Вас заинтересует