найти интеграл с помощью метода интегрирования по частям!! срочна!!
Приложения:

danya111839:
супер, спасибо
Ответы
Ответ дал:
1
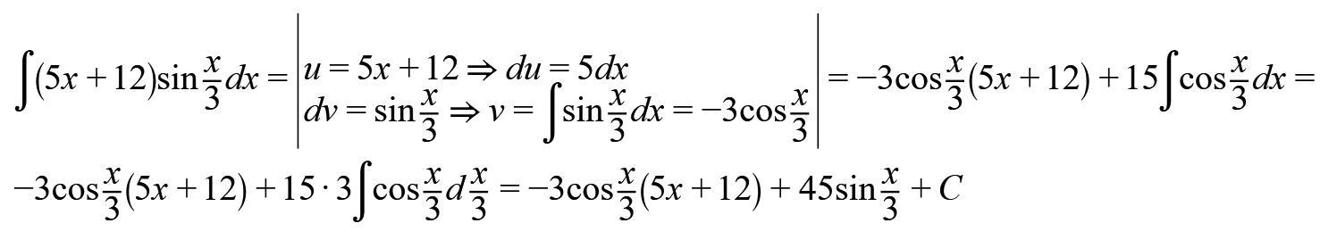
Ответ:
Объяснение:
/////////////////////////////////////////
Приложения:

Вас заинтересует
2 года назад
7 лет назад
7 лет назад
9 лет назад
9 лет назад