• Предмет: Математика
  • Автор: kirillstepanchenko5
  • Вопрос задан 3 года назад

срочно пжпжпжжппжжпжппжжпжпжп​

Приложения:

Ответы

Ответ дал: hargel08y
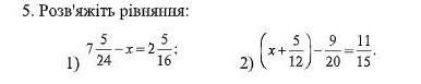
1

Х=235/48 перевести х=4 43/48

Ответ:

1)173/24-х=37/16

-х=37/16-173/24

-х=-235/48

Вас заинтересует