Ответы
Ответ дал:
0
Ответ:
Пошаговое объяснение:
решение внизу
Приложения:

Ответ дал:
0
Ответ:
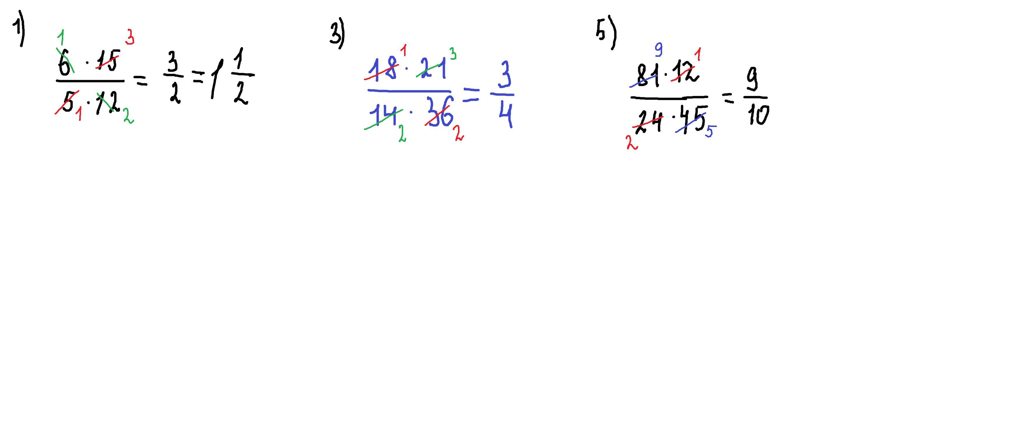
1)(6*15)/(5*12)=1.5
2)(11*9)/(15*22)=(1*3)/(5*2)=3/10
3)(18*21)/(14*36)=0.75
4)(45*17)/(17*22)=(9*1)/(1*7)=9/7=1
5)(81*12)/(24*45)=0.9
6)(56*16)/(48*49)=(8*2)/(6*7)=(4*2)/(3*7)=8/21
Пошаговое объяснение:
Вас заинтересует
2 года назад
2 года назад
2 года назад
2 года назад
7 лет назад
7 лет назад
9 лет назад