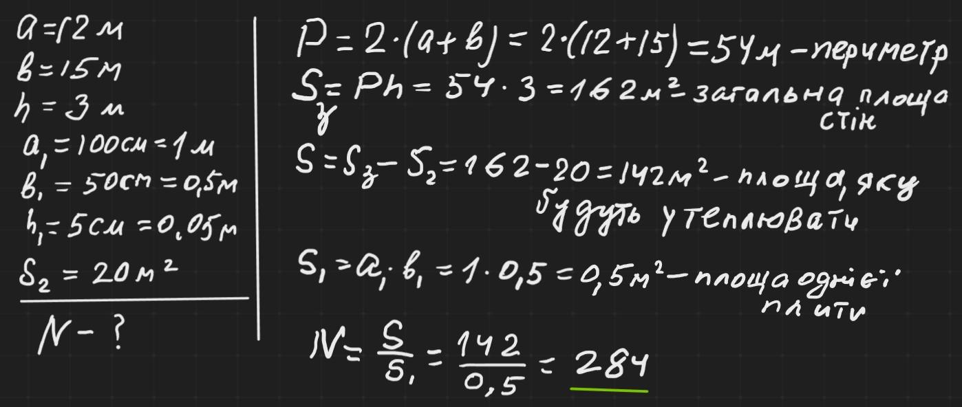
скільки полістерольних плит кожна з яких 100*50*5см потрібно для утеплення будинку 12*15м висота стін будинку 3 м загальна площа вікон та вхідних дверей будинку 20 м²
Ответы
Ответ дал:
2
Відповідь: 284
Пояснення:
Приложения:

Вас заинтересует
2 года назад
2 года назад
2 года назад
2 года назад
7 лет назад
7 лет назад
9 лет назад