• Предмет: Математика
  • Автор: gavrisanna0
  • Вопрос задан 3 года назад

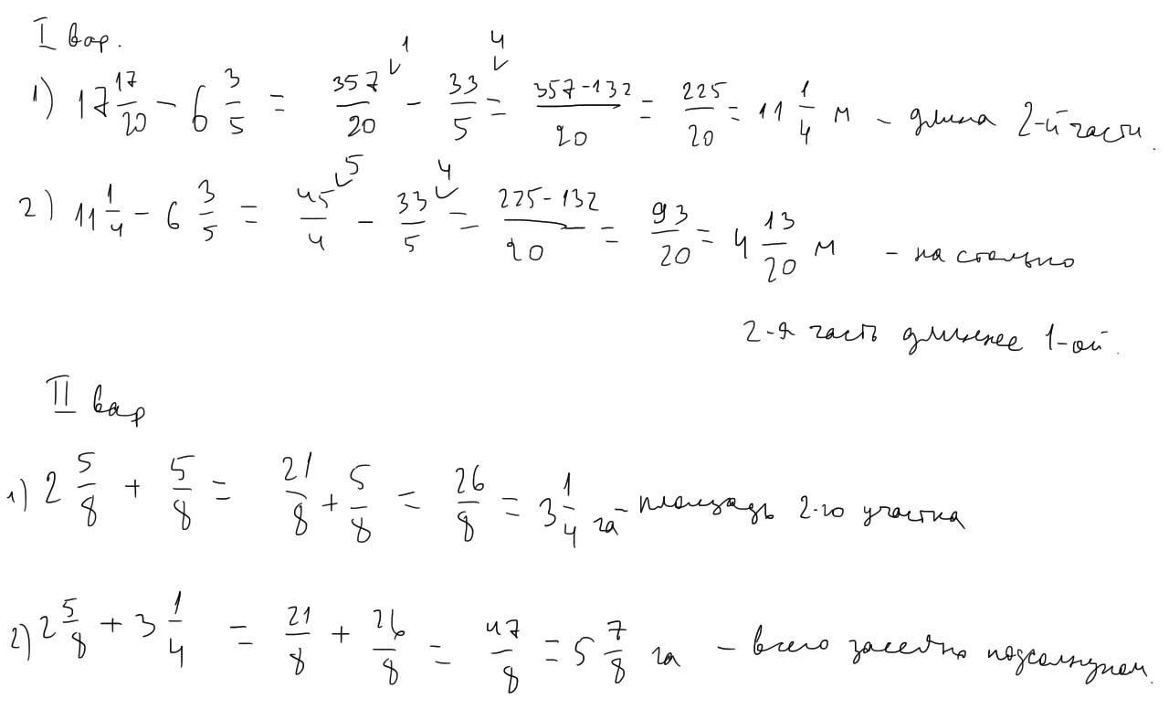
Матем два варианта 3 задание

Приложения:

Ответы

Ответ дал: Warlock1
1

Ответ:

1) на 4 13/20 м. 2) 5 7/8 га

Пошаговое объяснение:

Приложения:
Ответ дал: viktoria3210
1

1) 4 13/20(м) 2)5 7/8(га)

Приложения:
Вас заинтересует