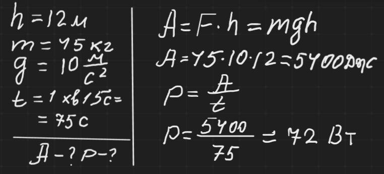
Експериментальне завдання: підрахувати роботу, яку ви виконуєте та потужність, яку ви
розвиваєте піднімаючись на свій поверх пішки.
Необхідні вимірювання провести самостійно і записати це експериментальне
завдання, як задачу.
Ответы
Ответ дал:
1
Відповідь: 5400 Дж 72 Вт
Пояснення:
Приложения:

anastasiasokolova029:
Дякую!
Вас заинтересует
2 года назад
2 года назад
2 года назад
7 лет назад
7 лет назад
9 лет назад
9 лет назад