• Предмет: Геометрия
  • Автор: makarovajulya
  • Вопрос задан 11 лет назад

В равнобедренной трапеции боковая сторона равна 10 ,большее основание - 14,меньшее 4,а угол при меньшем основании равен 120 градусам.Найдите площадь трапеции.

Из точки С лежащей вне круга проведены две секущие. Первая секущая пересекает окружность в точках А и D (точка D лежит между А и С) Вторая секущая пересекает окружность в точках В и Е ( точка Е лежит между В и С). Угол АСВ равен 35 градусам. Градусная величина дуги АВ окружности равна 168 градусов. Найдите угол  DАЕ. Ответ дайте в градусах.

Помогите пожааалуйста

Ответы

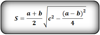
Ответ дал: zzadr
0
первая задача по этой формуле хорошо решается
Приложения:
Вас заинтересует