• Предмет: Алгебра
  • Автор: xBrutalx
  • Вопрос задан 11 лет назад

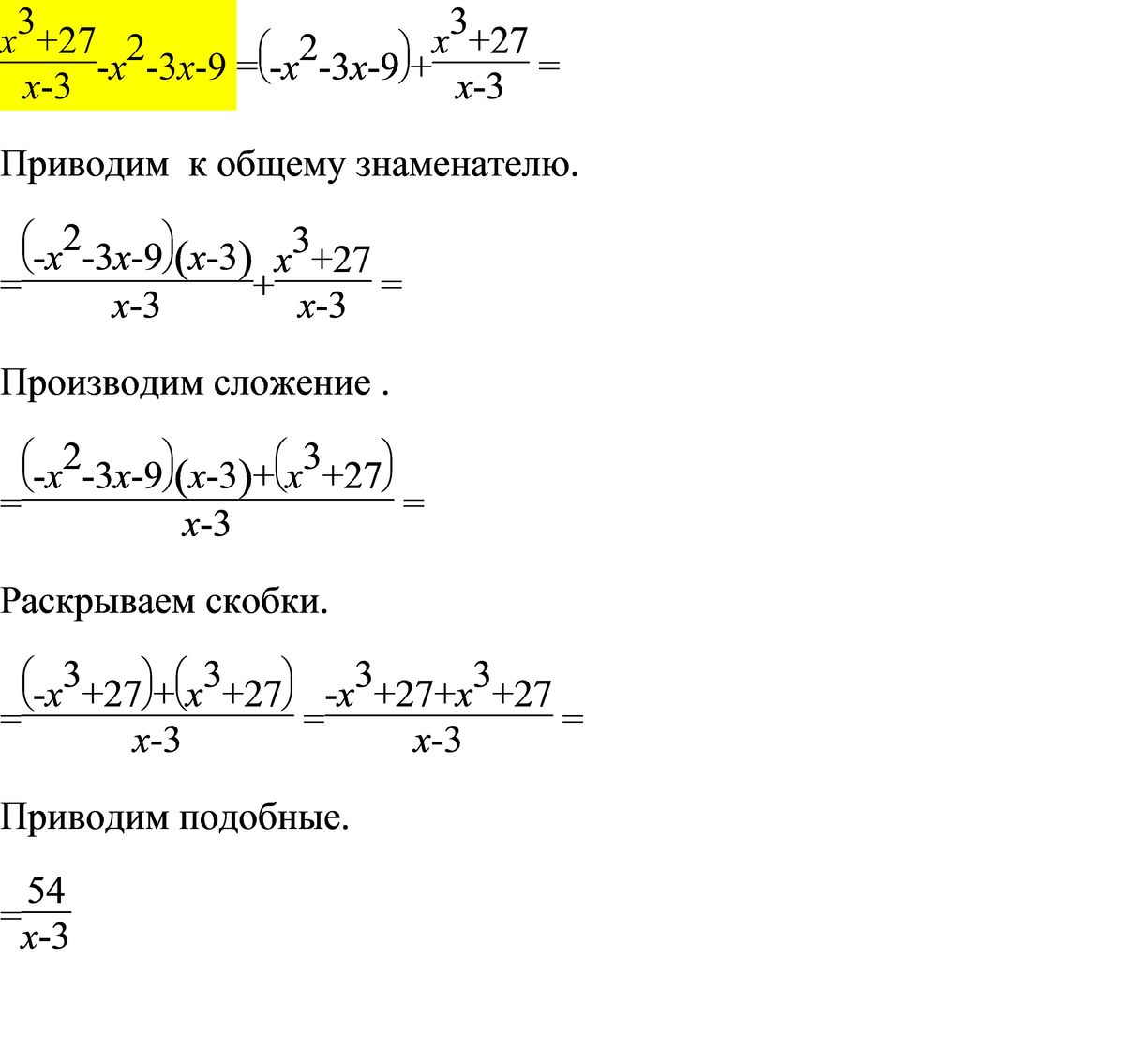
Упростите выражение: frac{x^{3}+27}{x-3}-x^{2}-3x-9

Ответы

Ответ дал: jatamann
0

x³+3³

-------     - x²-3x-9 =

x-3

 


    x³+27-(x²+3x+9)(x-3)     x³+27-(x³-3x²+3x²-9x+9x-27)          54

= -------------------------- = ------------------------------------- = --------

     x-3                                        x-3                                     x-3

Ответ дал: triolana
0

afqk

=============================

Приложения:
Вас заинтересует