• Предмет: Математика
  • Автор: zeka63065
  • Вопрос задан 3 года назад

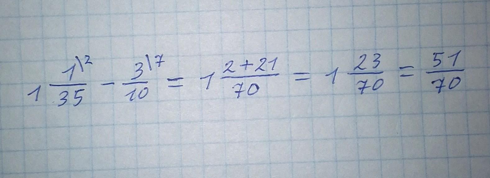
Запиши у відповідь нескоротний дріб.
Пж помогите

Приложения:

Ответы

Ответ дал: Pavecenko808
0

Ответ:

Нескоротний дріб буде = 51/70

Пошаговое объяснение:

Усе обчислення дивись на фото...

Приложения:
Вас заинтересует