• Предмет: Алгебра
  • Автор: gulakvaleria78
  • Вопрос задан 3 года назад

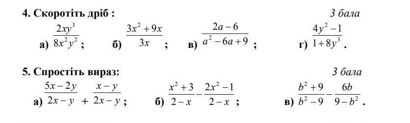
❗️ДАМ 100 БАЛЛОВ ❗️ДОПОМОЖІТЬ БУДЬ ЛАСКА З АЛГЕБРОЮ, ЗАВДАННЯ НЕ СКЛАДНЕ, ЗАВДАННЯ ПРИКРІПИЛА В ФОТО, БЛАГАЮ ДОПОМОЖІТЬ ​

Приложения:

Ответы

Ответ дал: kaktusalina
1

Ответ:

на фото всё решение есть

Приложения:

gulakvaleria78: дуже вдячна
gulakvaleria78: не зручно просити, але в мене у профілі є ще одне завдання. Подивіться будь ласка
kaktusalina: хорошо
Вас заинтересует