• Предмет: Алгебра
  • Автор: Leaf134653
  • Вопрос задан 3 года назад

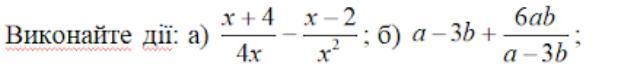
Срочно нужна помощь с заданием

Приложения:

Ответы

Ответ дал: raisakovpakmash
1

розвязок завдання і відповіді на фото

Приложения:
Вас заинтересует