• Предмет: Алгебра
  • Автор: PaintNavernoe
  • Вопрос задан 3 года назад

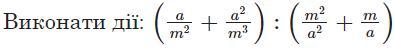
виконати дії:
даю 15 балів

Приложения:

Ответы

Ответ дал: ola3098
1

Ответ:

а³/m⁴

Объяснение:

пояснення на фото

Приложения:
Вас заинтересует