Ответы
Ответ дал:
1
Объяснение:
<3____________________<3
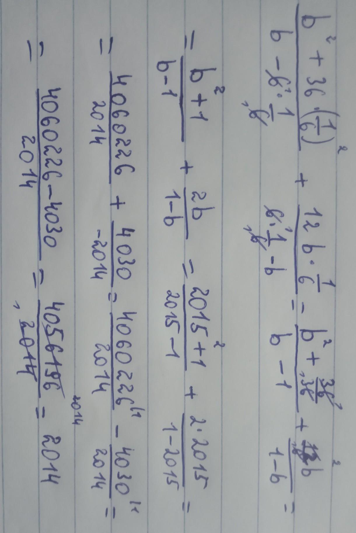
Приложения:

Ответ дал:
0
Ответ: 2014 .
Сначала приведём дроби к общему знаменателю и упростим выражение.
Теперь подставим значения переменных .
Вас заинтересует
2 года назад
2 года назад
2 года назад
2 года назад
7 лет назад
7 лет назад
9 лет назад