Ответы
Ответ дал:
0
Ответ:1) Найдем координаты вектора а.
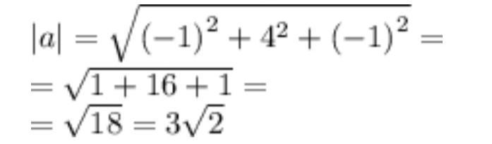
а=m+3n=(5;-5;2)+3*(-2;3;-1)=(5;-5;2)+(-6;9;-3)=(-1;4;-1)
2) Найдём модуль вектора а.
Пошаговое объяснение:
Приложения:

Вас заинтересует
2 года назад
2 года назад
2 года назад
7 лет назад
9 лет назад
9 лет назад