• Предмет: Математика
  • Автор: Darya1982d
  • Вопрос задан 3 года назад

Сколько будет 2 1/20-2 3/20
Пожалуйста!

Ответы

Ответ дал: gulbahor213
1

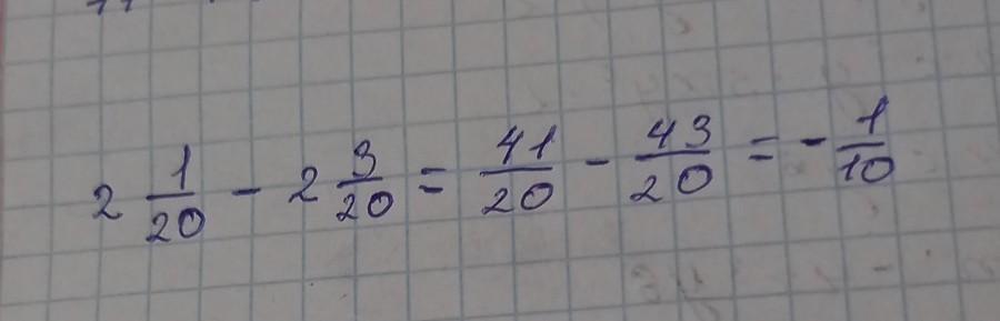
Ответ:

Все на фото.............

Приложения:

Аноним: я тоже решал, наш ум совпал
gulbahor213: ахах, в точь точь. Просто решение у этой дроби только одно^^
gulbahor213: ну все же я первее решила
Ответ дал: Аноним
1

Ответ:

-\frac{1}{10}

Пошаговое объяснение:

2\frac{1}{20}-2\frac{3}{20}  = \frac{41}{20} -\frac{43}{20}= -\frac{1}{10}

Вас заинтересует