Ответы
Ответ дал:
2
Ответ:
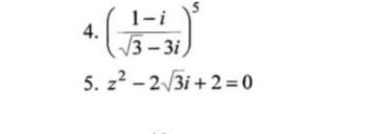
(√3+3i-√3i+3)⁵
-----------------------
12⁵
полоска это как дробь
Ответ дал:
0
Ответ:
вот надеюсь помогла з 4 заданиям :>
Приложения:

Вас заинтересует
2 года назад
2 года назад
2 года назад
2 года назад
9 лет назад